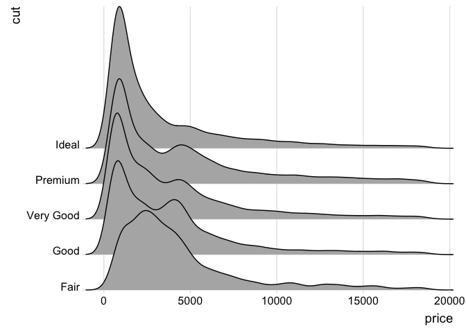
Ridgeline plots are partially overlapping line plots that create the impression of a mountain range. They can be quite useful for visualizing changes in distributions over time or space.
Please install the stable release from CRAN:
install.packages("ggridges")Alternatively, you can install the latest development version from github:
remotes::install_github("wilkelab/ggridges")library(ggplot2)
library(ggridges)
ggplot(diamonds, aes(x = price, y = cut)) +
geom_density_ridges(scale = 4) +
scale_y_discrete(expand = c(0, 0)) + # will generally have to set the `expand` option
scale_x_continuous(expand = c(0, 0)) + # for both axes to remove unneeded padding
coord_cartesian(clip = "off") + # to avoid clipping of the very top of the top ridgeline
theme_ridges()
#> Picking joint bandwidth of 458
First read the package vignette. Then read the reference manual.