aion

status-badge Code coverage Dependencies

r-universe CRAN Version CRAN checks CRAN Downloads

Project Status: Active – The project has reached a stable, usable state and is being actively developed.

DOI Zenodo DOI JOSS SWH

Overview

Base R ships with a lot of functionality useful for time series, in particular in the stats package. However, these features are not adapted to most archaeological time series. These are indeed defined for a given calendar era, they can involve dates very far in the past and the sampling of the observation time is (in most cases) not constant.

aion provides a system of classes and methods to represent and work with such time-series (and time intervals). Dates are represented as rata die (Reingold and Dershowitz 2018), i.e. the number of days since 01-01-01 (Gregorian), with negative values for earlier dates. This allows to represent dates independently of any calendar: it makes calculations and comparisons easier.

Once a time series is created with aion, any calendar can be used for printing or plotting data (defaults to Gregorian Common Era; see vignette("aion")).

aion does not provide tools for temporal modeling. Instead, it offers a simple API that can be used by other specialized packages (see kairos or ananke).


To cite aion in publications use:

Frerebeau N (2024). “aion: An R Package to Represent Archaeological Time Series.” Journal of Open Source Software, 9(96), 6210. doi:10.21105/joss.06210 https://doi.org/10.21105/joss.06210.

Frerebeau N, Roe J (2026). aion: Archaeological Time Series. Université Bordeaux Montaigne, Pessac, France. doi:10.5281/zenodo.8032278 https://doi.org/10.5281/zenodo.8032278, R package version 1.7.0, https://packages.tesselle.org/aion/.

This package is a part of the tesselle project https://www.tesselle.org.

Installation

You can install the released version of aion from CRAN with:

install.packages("aion")

And the development version from Codeberg with:

# install.packages("remotes")
remotes::install_git("https://codeberg.org/tesselle/aion")

Usage

## Load package
library(aion)

Time-series of ceramic counts:

## Get ceramic counts (data from Husi 2022)
data("loire", package = "folio")

## Keep only variables whose total is at least 600
keep <- c("01f", "01k", "01L", "08e", "08t", "09b", "15i", "15q")

## Get time midpoints
mid <- rowMeans(loire[, c("lower", "upper")])

## Create time-series
X <- series(
  object = loire[, keep],
  time = mid,
  calendar = AD()
)

## Plot (default calendar)
plot(
  x = X, 
  type = "h" # histogram like vertical lines
)

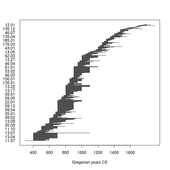
Plot time ranges:

## Create time intervals
Y <- intervals(
  start = loire$lower,
  end = loire$upper,
  names = rownames(loire),
  calendar = AD()
)

## Plot (default calendar)
plot(x = Y)

Translation

This package provides translations of user-facing communications, like messages, warnings and errors, and graphical elements (axis labels). The preferred language is by default taken from the locale. This can be overridden by setting of the environment variable LANGUAGE (you only need to do this once per session):

Sys.setenv(LANGUAGE = "<language code>")

Languages currently available are English (en) and French (fr).

Contributing

Please note that the aion project is released with a Contributor Code of Conduct. By contributing to this project, you agree to abide by its terms.

References

Allen, James F. 1983. “Maintaining Knowledge about Temporal Intervals.” Communications of the ACM 26 (11): 832–43. https://doi.org/10.1145/182.358434.
Alspaugh, Thomas. 2019. “Allen’s Interval Algebra.” 2019. https://thomasalspaugh.org/pub/fnd/allen.html.
Frerebeau, Nicolas. 2024. “aion: An R Package to Represent Archaeological Time Series.” Journal of Open Source Software 9 (96): 6210. https://doi.org/10.21105/joss.06210.
Harris, Edward C. 1997. Principles of Archaeological Stratigraphy. Seconde edition. London: Academic Press.
Reingold, Edward M., and Nachum Dershowitz. 2018. Calendrical Calculations: The Ultimate Edition. 4th ed. Cambridge University Press. https://doi.org/10.1017/9781107415058.